学法网,与法律人共成长!马上注册学法网,结交更多法友。
您需要 登录 才可以下载或查看,没有帐号?免费注册
x
代位权与债权人撤销权 
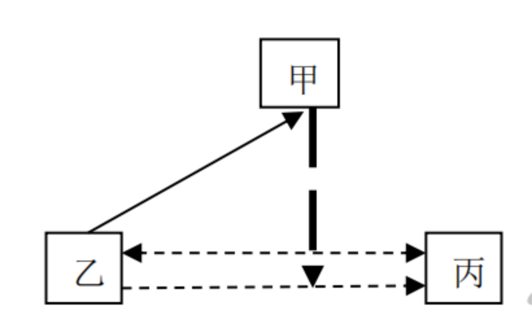
 一、代位权(★★★) (二)代位权的行使(★★★)
(三)代位权行使的法律效果(★★★) 1. 实体法上的效果(若债权人胜诉) ① 由债务人的相对人(丙、丁)向债权人(甲)履行义务,债权人(甲)接受履行后,债权人与债务人、债务人与相对人之间相应的权利义务终止(在“对等额内”消灭)(《民法典》第537条)。②债务人(乙)对相对人(丙、丁)的债权或者与该债权有关的从权利被采取保全、执行措施,或者债务人破产的,依照相关法律的规定处理(《民法典》第537条)。 2. 诉讼法上的效果(若债权人胜诉) ① 诉讼费用由相对人(丙、丁)负担,从实现的债权(从权利)中优先支付(《合同法解释(一)》第19条)。 ② 必要费用(律师费用、差旅费等),由债务人(乙)负担(《民法典》第535条第二款)  二、债权人撤销权(★★★) (一)构成要件(《民法典》第538条至第541条;《合同法解释(二)》第18、19条)(★★★) 债权人撤销权的构成要件 如上图。假设甲为债权人,乙为债务人,丙系受益人或受让人。甲享有债权人撤销权,须具备下列两个条件或者三个条件。 ① 债权人(甲)对债务人(乙)的债权合法、有效(注意:无须到期)。 ② 债务人(乙)对债权人(甲)负担债务之后,实施的财产行为影响债权人的债权实现。 ③ 若债务人的行为系有偿行为,需要债务人、受益人或受让人具有恶意。 1. 债权人对债务人的债权合法、有效 ① 甲对乙的债权须合法,非法债权(如赌债),甲不享有债权人撤销权;甲对乙的债权须有效,若已过诉讼时效期间且乙主张时效抗辩的,甲不享有债权人撤销权。 ② 甲对乙的债权“无须”到期(这是债权人撤销权与代位权的一个区别)。 2. 债务人负担债务之后,实施的财产行为影响债权人的债权实现 ① “时间因素”。乙处分财产的行为须发生在甲对乙享有债权“之后”;若乙处分财产的行为发生在甲对乙享有债权“之前”,甲无债权人撤销权。原因:债权人撤销的功能在于恢复债务人的责任财产,而不在于增加债务人的责任财产。 ② “财产因素”。乙处分财产的行为须产生导致乙“责任财产减少”的效果;若乙处分财产的行为并未导致其责任产生减少(如以市价购入或卖出),或者只是导致其责任财产“没有增加”(如拒绝接受赠与、拒绝第三人代为清偿债务、放弃继承、放弃受遗赠等),则甲不享有债权人撤销权。原因:债权人撤销权的功能仅在于恢复债务人的责任财产(保持债务人原有的资力);而非增加债务人的责任财产。 ③ “行为因素”。乙处分财产的行为须为法律行为中的“财产行为”;若为“身份行为”(如结婚、收养子女),即使损害了甲的债权,甲亦无债权人撤销权。原因:身份行为涉及乙的人格尊严。④“效果因素”。乙实施的导致其责任财产减少的财产行为须“损害到甲的债权”。判断损害的标准,采用“债务超过说”,实施处分财产的行为后,乙剩余的其他财产不足以清偿对甲负担的债务。⑤“关联因素”。乙处分财产的行为与甲的债权受到损害间须有“因果关系”。若无此因果关系,甲无债权人撤销权。
|